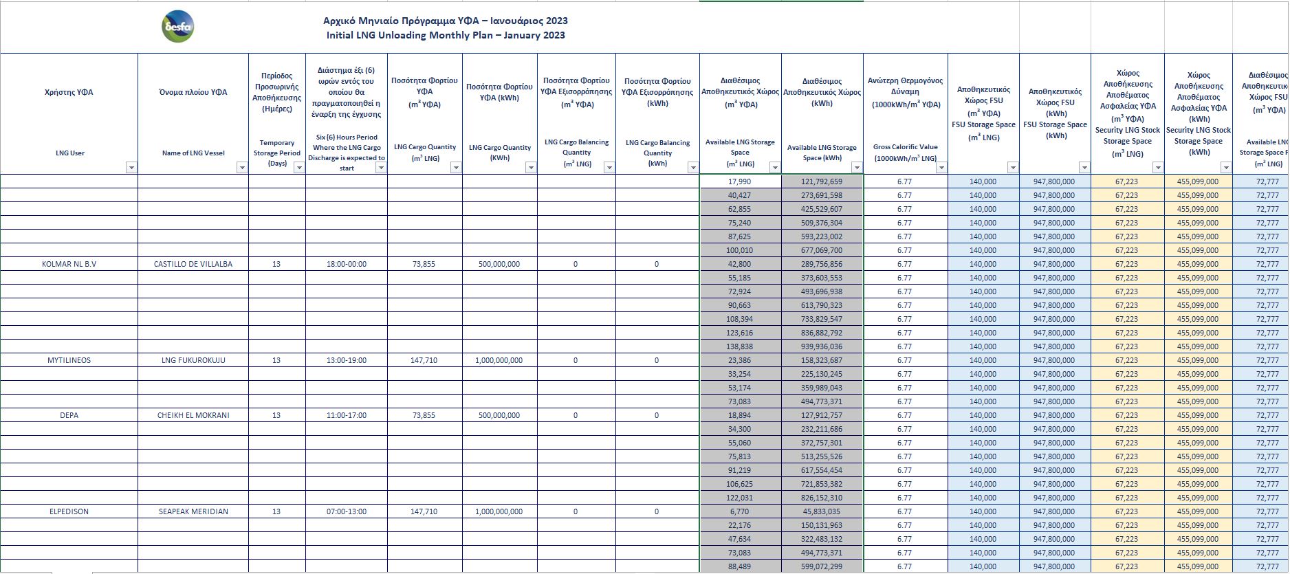
Η συνολική ποσότητα φτάνει στα 443.130 κ.μ
To αρχικό πρόγραμμα εκφορτώσεων του ΔΕΣΦΑ δημοσιεύτηκε για τον Ιανουάριο του 2023, με τη συνολική ποσότητα στα 443.130 κ.μ., σχεδόν στο μισό από αυτή του Δεκεμβρίου.
Ειδικότερα, πρόκειται για ένα φορτίο της Μυτιληναίος, 147.710 κ.μ, ένα της ΔΕΠΑ, 73.855 κ.μ και ένα της Elpedison, 147.710 κ.μ. Επιπλέον, περιλαμβάνει και ένα φορτίο 73.855 κ.μ. για την ελβετική KOLMAR.
www.worldenergynews.gr






