Πως κινήθηκαν οι ενεργειακές μετοχές
Ο Γενικός Δείκτης στο ελληνικό χρηματιστήριο έκλεισε με πτώση 7,43% στις 1.478,92 μονάδες έχοντας υψηλό στις 1.597,43 μονάδες και χαμηλό τις 1.455,08 μονάδες.
Μετριάζεται η πτώση στο ελληνικό χρηματιστήριο, από τις περίπου 1.455 μονάδες χαμηλό ημέρας, ακολουθώντας τις διεθνείς αγορές, με τις τράπεζες να έχουν περιορίσει σημαντικά τις απώλειές τους.
Αξίζει να σημειωθεί πως οι αμερικανικές μετοχές έχουν υποχωρήσει κατά περίπου 10% τις δύο ημέρες από τότε που ο Trump ανακοίνωσε ένα νέο παγκόσμιο δασμολογικό καθεστώς που ήταν πιο επιθετικό από ό,τι περίμεναν οι αναλυτές και οι επενδυτές.
Στο ΧΑ, ο ΓΔ καταβάλει προσπάθεια να κρατήσει τις 1.503 μονάδες, τον εκθετικό κινητό μέσο όρο των 200 ημερών και τις 1.482 τον απλό κινητό μέσο όρο των 200 ημερών, αφού διέσπασε με ευκολία το πρώτο μισάωρο τις 1.600, τις 1.580 και τις 1.550 μονάδες.
Όπως έγραφε νωρίτερα το WEN, σύμφωνα με εκτιμήσεις της Barclays στο Blooomberg, η Ευρώπη θα έχει τρία τρίμηνα ύφεσης, τα οποία ξεκινούν από τώρα, δηλαδή από το β' τρίμηνο του 2025. Εφόσον οι πληροφορίες του Bloomberg επιβεβαιωθούν και η Κίνα προχωρήσει στο πακέτο στήριξης (stimulus) για την οικονομία της, για να αντιμετωπίσει τους δασμούς Trump, ο στόχος του Αμερικανού προέδρου να αλλάξει την κατεύθυνση της κινεζικής οικονομίας σε εσωτερική ανάπτυξη από εξαγωγές, θα έχει αρχίσει να επιτυγχάνεται.
Οι ενεργειακές μετοχές έκλεισαν ως εξής:
Ο AΔMHE υποχώρησε 8,19% στα 2,63 ευρώ με όγκο συναλλαγών 1.094.275, κεφαλαιοποίηση 611 εκατ., υψηλό ημέρας στα 2,73 και χαμηλό στα 2,55.
H ΔΕΗ υποχώρησε 11,79% στα 11,75 ευρώ με όγκο συναλλαγών 1.847.425, κεφαλαιοποίηση 4339 δισ., υψηλό ημέρας στα 12,65 και χαμηλό στα 11,72.
Η Motor Oil υποχώρησε 4,60% στα 19,08 ευρώ με όγκο συναλλαγών 361.865, κεφαλαιοποίηση 2,113 δισ., υψηλό ημέρας στα 19,40 και χαμηλό στα 18,26.
Η Μetlen υποχώρησε 6,91% στα 36,40 ευρώ με συναλλαγές 837.743 κεφαλαιοποίηση 5,201 δισ., υψηλό ημέρας στα 37,70 και χαμηλό στα 35,60.
Η HELLENiQ ENERGY (ΕΛΠΕ) υποχώρησε 6,88% στα 6,83 ευρώ με όγκο συναλλαγών 656.537, κεφαλαιοποίηση 2.089 δισ., υψηλό ημέρας στα 7,01 και χαμηλό στα 6,80.
Η Cenergy Holding υποχώρησε 7,46% στα 7,82 ευρώ με όγκο συναλλαγών 636.104, κεφαλαιοποίηση 1,660 δισ., υψηλό ημέρας στα 8,01 και χαμηλό στα 7,52.
Η ΓΕΚ ΤΕΡΝΑ υποχώρησε 6,94% στα 17,03 ευρώ με όγκο συναλλαγών 421.593, κεφαλαιοποίηση 1,761 δισ., υψηλό ημέρας στα 17,84 και χαμηλό στα 16,81.
Η ΤΕΡΝΑ Ενεργειακή παρέμεινε αμετάβλητη στα 20 ευρώ με κεφαλαιοποίηση 2.367 δισ., υψηλό ημέρας στα 20 και χαμηλό στα 20.
Η ΒΙΟΧΑΛΚΟ υποχώρησε 10,43% στα 4,81 ευρώ με όγκο συναλλαγών 300.914, κεφαλαιοποίηση 1,247 δισ., υψηλό ημέρας στα 5,08 και χαμηλό 4,77.
Η ΕΛΧΑ υποχώρησε 10,97% στα 1,73 ευρώ με όγκο συναλλαγών 622.905, κεφαλαιοποίηση 651 εκατ., με υψηλό ημέρας στα 1,82 και χαμηλό 1,73.
Η ΤΙΤΑΝ υποχώρησε 5,44% στα 37,35 ευρώ με όγκο συναλλαγών 172.519, κεφαλαιοποίηση 2,925 δισ., υψηλό ημέρας στα 38,20 και χαμηλό 35,60.
Η ΕΛΛΑΚΤΩΡ υποχώρησε 11,31% στα 1,20 ευρώ με 1.082.688 συναλλαγές, κεφαλαιοποίηση 420 εκατ., με υψηλό ημέρας στα 1,29 και χαμηλό 1,18.
Η Quest υποχώρησε 6,56% στα 5,70 ευρώ με συναλλαγές 97.090, κεφαλαιοποίηση 611 εκατ., με υψηλό ημέρας στα 5,78 και χαμηλό 5,60.
Η Alter Ego (AEM) υποχώρησε 5,24% στα 3,98 ευρώ με συναλλαγές 242.487, κεφαλαιοποίηση 227 εκατ., με υψηλό ημέρας στα 4,04 και χαμηλό 3,82.
Η ΑΒΑΞ υποχώρησε 9,76% στα 1,72 ευρώ με συναλλαγές 845.088, κεφαλαιοποίηση 255 εκατ., με υψηλό ημέρας στα 1,79 και χαμηλό 1,65.
Η ΑΚΤΟΡ υποχώρησε 9,13% στα 4,28 ευρώ με όγκο συναλλαγών 486.141 κεφαλαιοποίηση 873 εκατ., με υψηλό ημέρας στα 4,50 και χαμηλό 4,22.
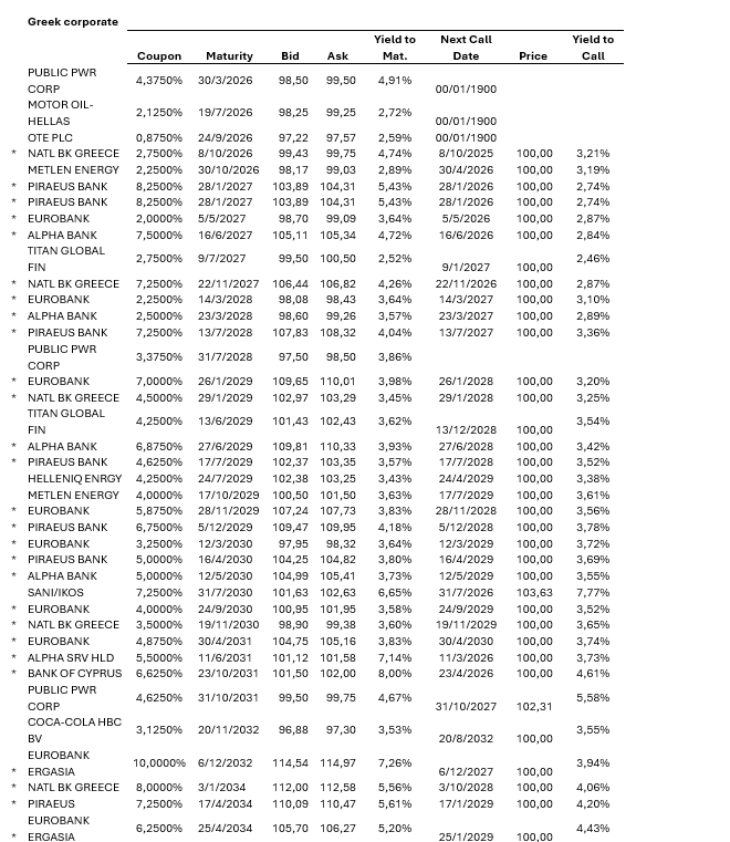
Η τεχνική εικόνα της αγοράς ομολόγων




Citi, Goldman Sachs, Barclays, Deutsche Bank, JP Morgan: Αυτό το κραχ είναι μόνο η αρχή - Μείνετε εκτός αγορών
Με την κατάσταση στις διεθνείς αγορές να έχει εξελιχθεί πλέον σε πραγματικό κραχ, οι μεγάλοι διεθνείς επενδυτικοί οίκοι όπως η Citigroup, η Goldman Sachs, η Barclays, η Deutsche Bank και η JP Morgan, προειδοποιούν ότι αυτή τη στιγμή δεν υπάρχει καμία αγορά όπου μπορεί κανείς να "κρυφτεί", προσθέτοντας πως τα πράγματα μόνο χειρότερα μπορούν να γίνουν στη συνέχεια δεδομένης και της βροχής αντιποίνων στους δασμούς Τραμπ. Η "Ημέρα Απελευθέρωσης" της περασμένης εβδομάδας μπορεί να σηματοδότησε την κορύφωση της εμπορικής αβεβαιότητας, αλλά σίγουρα όχι το τέλος της, όπως σημειώνουν, ανεβάζοντας τις εκτιμήσεις τους για ύφεση φέτος.
Σε αυτό το πλαίσιο, η Barclays μειώνει τον στόχο για τον πανευρωπαϊκό δείκτη Euro Stotxx στις 490 μονάδες φέτος, αλλά αναγνωρίζει ότι ο καθορισμός μιας πρόβλεψης σημείου έχει μικρή αξία σε αυτό το στάδιο – δεν υπάρχει προηγούμενο, ούτε θεμελιώδες πλαίσιο στο οποίο να βασιστεί για αυτήν την κρίση. Οι ευρωπαϊκές μετοχές θα μπορούσαν να πέσουν πολύ περισσότερο, πιθανώς στις 390 μονάδες σε περίπτωση παρατεταμένης ύφεσης ή να ανακάμψουν στις 550 μονάδες εάν ο εμπορικός πόλεμος αποκλιμακωθεί αρκετά γρήγορα. Αλλά η Barclays πιστεύει ότι οι παγκόσμιες μετοχές γενικότερα είναι απίθανο να επιστρέψουν στα πρόσφατα υψηλά σύντομα, καθώς έχει προκληθεί μεγάλη ζημιά.
Ακόμα και σε ένα καλό σενάριο που οι δασμοί αντιστρέφονται γρήγορα, ο κίνδυνος είναι οι ΗΠΑ να χάσουν την εμπιστοσύνη τους στην παγκόσμια σκηνή και οι επενδυτές να συνεχίσουν να αναζητούν διαφοροποίηση, τονίζει η Deutsche Bank. Στις αρχές του 2025, οι παγκόσμιοι επενδυτές φαινόταν ότι ήθελαν να είναι πολύ long στα περιουσιακά στοιχεία των ΗΠΑ και θα είναι δύσκολο να επιστρέψουν σε κάτι τέτοιο τώρα. Δεν είναι μόνο οι δασμοί, αλλά η ρητορική που απευθύνεται στον Καναδά, τη Γροιλανδία, την Ουκρανία, το ΝΑΤΟ και την Ευρώπη γενικότερα, ειδικά στη Διάσκεψη για την Ασφάλεια του Μονάχου.
Εικόνα αγοράς
Με ελεύθερη πτώση ξεκίνησε η χρηματιστηριακή αγορά με τον Τραπεζικό Δείκτη στο -4,52%.
Ο τζίρος και ο όγκος συναλλαγών σε αυξημένα επίπεδα και είναι μοιρασμένος στις τράπεζες και στα μη τραπεζικά blue chips.
Αναλυτικότερα, η αξία συναλλαγών διαμορφώνεται στα 168 εκατ. ευρώ, ο όγκος στα 40 εκατ. τεμάχια, εκ των οποίων τα 28 εκατ. τεμάχια να διακινούνται στις τράπεζες.
Προσυμφωνημένες συναλλαγές αξίας 2,37 εκατ. ευρώ και όγκου 192,1 χιλ. τεμαχίων διακίνησε η ΔΕΗ.
Καταρρέουν τα ευρωπαϊκά χρηματιστήρια - Sell off στην Wall Street
Συνεχίζεται η κατάρρευση των ευρωπαϊκών αγορών , στον απόηχο της σαρωτικής δασμολογικής πολιτική των ΗΠΑ από τον Αμερικανό πρόεδρο Ντόναλντ Τραμπ.
Oι επενδυτές στρέφουν την προσοχή τους στον τρόπο με τον οποίο οι ηγέτες της ΕΕ θα απαντήσουν στους αμοιβαίος δασμούς του προέδρου των Ηνωμένων Πολιτειών Ντόναλντ Τραμπ, οι οποίοι ανακοινώθηκαν την περασμένη εβδομάδα και πρόκειται να τεθούν σε ισχύ στις 9 Απριλίου.
Την ώρα που το ξεπούλημα επιταχύνεται στις διεθνείς αγορές, η άνοδος του δείκτη φόβου καταγράφει τον πανικό και ότι οι ΗΠΑ έχουν την πρωτοκαθεδρία στο διεθνές σύστημα των αγορών.
Ενδεικτικό του πανικού είναι ότι ανεστάλη η διαπραγμάτευση στις γαλλικές τράπεες, με την έναρξη των συναλλαγών στο Παρίσι.
Οι κορυφαίοι οικονομικοί αξιωματούχοι του Trump απέρριψαν οποιουσδήποτε φόβους για πληθωρισμό και ύφεση, δηλώνοντας ότι οι δασμοί θα παραμείνουν ό,τι κι αν κάνουν οι αγορές.
Ο Αμερικανός πρόεδρος δεν δείχνει καμία διάθεση υπαναχώρησης από τα δασμολογικά του σχέδια παρά τα κινεζικά αντίποινα, με τους επενδυτές να προεξοφλούν μειώσεις επιτοκίων από την Ευρωπαϊκή Κεντρική Τράπεζα και την αμερικανική κεντρική τράπεζα (Fed).
Στα νέα οικονομικά δεδομένα, η βιομηχανική παραγωγή του γερμανικού μεταποιητικού τομέα μειώθηκε κατά 1,3% σε μηνιαία βάση τον Φεβρουάριο, σε προσωρινή έκθεση που δημοσιεύθηκε σήμερα 7/4 Σε σύγκριση με τον αντίστοιχο μήνα πέρυσι, το ποσοστό μειώθηκε κατά 4%.
Επίσης, το εμπορικό πλεόνασμα της Γερμανίας διαμορφώθηκε στα 17,7 δισ. ευρώ τον Φεβρουάριο, αυξημένο από τα 16,2 δισ. ευρώ που είχε καταγραφεί τον Ιανουάριο και μειωμένο από τα 22,6 δισ. ευρώ τον Φεβρουάριο του 2024, και κατώτερο των προσδοκιών των αναλυτών.
Ο ετήσιος ρυθμός αύξησης των τιμών των κατοικιών στο Ηνωμένο Βασίλειο ανήλθε σε 2,8% τον Μάρτιο, ενώ οι τιμές των κατοικιών μειώθηκαν κατά 0,5% σε σχέση με τον προηγούμενο μήνα.
Ισχυρή πτώση -6,7% καταγράφεται στις τιμές του φυσικού αερίου, με το ολλανδικό TTF Μαΐου στα 33,95 ευρώ.
Σημαντικές απώλειες στις τιμές του πετρελαίου, με το brent να διαμορφώνεται στα 63,04 δολ. το βαρέλι στο -3,9% και του αμερικανικού αργού στα 59,49 δολ. το βαρέλι στο -4%.
Ειδικότερα, ο δείκτης Dax στη Γερμανία βρίσκεται στο -6,8%, ο δείκτης CAC στο Παρίσι στο -5,9%, ο δείκτης FTSE MIB -6,3%, ο δείκτης IBEX 35 στην Ισπανία στο -5,9% και ο FTSE 100 στο Λονδίνο στο -5,2%.
Στη Wall Street, τα futures του Dow Jones κινούνται στο -3%, του S&P 500 στο -3,2% και του Nasdaq στο -3,6%
www.worldenergynews.gr






