Συνεχίζεται η άνοδος και στη σημερινή συνεδρίαση για το ΧΑ, με στηρίξεις από τις δεικτοβαρείς ΟΤΕ και Coca Cola αλλά τις τράπεζες να έχουν περιορίσει τα αρχικά τους κέρδη, με έντονη την αισιοδοξία διεθνώς ότι ο Αμερικανός πρόεδρος Τραμπ, θα καταλήξει τελικώς σε μια εμπορική συμφωνία με την Κίνα.
Αξίζει να σημειωθεί πως η κατάσταση στις διεθνείς αγορές δείχνει να εξομαλύνεται ύστερα από τη θετική εξέλιξη στο μέτωπο του εμπορικού πολέμου, καθώς η αμερικανική κυβέρνηση αποφάσισε να εξαιρέσει τον κλάδο της Τεχνολογίας από τους δασμούς.
Στο ελληνικό ταμπλό, στο επίκεντρο παραμένει η Metlen που σταθεροποιείται κοντά στα ιστορικά υψηλά 42- 43 ευρώ.
Ο Γενικός Δείκτης φαίνεται να έχει απομακρυνθεί από τη ζώνη των 1.505 – 1.485 μονάδων τον εκθετικό και απλό ΚΜΟ των 200 ημερών αντίστοιχα,ενώ έχει διασπάσει ανοδικά και αυτόν των 50 ημερών στις 1605 μονάδες.
Από τον ευρύτερο κλάδο των ενεργειακών η Cenergy με άνοδο 2,54% αφού παραμένει σαν επενδυτική ευκαιρία με υπέρβαση των 8,50 ευρώ.
Σημειωτέον ότι η Cenergy κατά της φάσης της διόρθωσης γύρισε από το έυρος των 9,30 - 9,7 ευρώ με χαμηλό 7,8 - 8 ευρώ.
Ανοδικά συνεχίζει το ελληνικό χρηματιστήριο στις 1.6446 μονάδες, με τις τράπεζες να ξεχωρίζουν με Εθνική +4%, Eurobank +3%, ενώ στηρίξεις προσφέρουν και οι δεικτοβαρείς ΟΤΕ και Coca Cola +1,5% , με διαχυτη την αισιοδοξία διεθνώς ότι ο D. Trump θα καταλήξει σε μια εμπορική συμφωνία με την Κίνα.
Οι συναλλαγές έχουν κατεβάσει ταχύτητα, ενώ υπενθυμίζεται ότι την Μ. Παρασκευή(18/4) και τη Δευτέρα (21/4)του Πάσχα, το Χρηματιστήριο Αθηνών θα παραμείνει κλειστό όπως και οι Ευρωαγορές, καθώς φέτος συμπίπτει το Πάσχα των Ορθοδόξων με το Πάσχα των Καθολικών.
Η λήξη παραγώγων σειρας Απριλίου μεταφέρεται για την Μεγάλη Πέμπτη 17/4.
Στις υπόλοιπες τράπεζες καταγρα΄φονται μικρότερα κέρδη με Πειραιώς +1,75% και Alpha Bank +1%..
Στα μη τραπεζικά blue chips, εκτός του ΟΤΕ και Coca Cola, ξεχωρίζουν Cenergy +3,7%, Viohalco +2,3%...ενώ ήπια υποχωρούν Τιτάν -0,70%, Motor Oil -0,60%....
Οι ενεργειακές μετοχές έκλεισαν ως εξής:
Ο AΔMHE ενισχύθηκε 0,9% στα 2,81 ευρώ με όγκο συναλλαγών 212.752, κεφαλαιοποίηση 651 εκατ., υψηλό ημέρας στα 2,81 και χαμηλό στα 2,745.
H ΔΕΗ υποχώρησε 0,68% στα 13,1 ευρώ με όγκο συναλλαγών 233.510, κεφαλαιοποίηση 4,8 δισ., υψηλό ημέρας στα 13,34 και χαμηλό στα 13,1.
Η MotorOil υποχώρησε 0,29% στα 20,4 ευρώ με όγκο συναλλαγών 117.284, κεφαλαιοποίηση 2,259 δισ., υψηλό ημέρας στα 20,68 και χαμηλό στα 20.
Η Μetlen υποχώρησε 0,19% στα 41,92 ευρώ με συναλλαγές 309.527 μετοχών, κεφαλαιοποίηση 5,989 δισ., υψηλό ημέρας στα 42,38 και χαμηλό στα 41,6.
Τα ΕΛΠΕ ενισχύθηκαν 1,82% στα 7,53 ευρώ με όγκο συναλλαγών 174.388, κεφαλαιοποίηση 2,302 δισ., υψηλό ημέρας στα 7,535 και χαμηλό στα 7,38.
Η Cenergy Holding ενισχύθηκε 2,54% στα 8,47 ευρώ με όγκο συναλλαγών 214.608, κεφαλαιοποίηση 1,798 δισ., υψηλό ημέρας στα 8,63 και χαμηλό στα 8,35.
Η ΓΕΚ ΤΕΡΝΑ ενισχύθηκε 1,57% στα 18,74 ευρώ με όγκο συναλλαγών 182.781, κεφαλαιοποίηση 1,938 δισ., υψηλό ημέρας στα 18,8 και χαμηλό 18,46.
Η ΤΕΡΝΑ Ενεργειακή παρέμεινε αμετάβλητη στα 20 ευρώ, κεφαλαιοποίηση 2,367 δισ., υψηλό ημέρας στα 20 και χαμηλό στα 20.
Η ΒΙΟΧΑΛΚΟ ενισχύθηκε 5,07% στα 5,39 ευρώ με όγκο συναλλαγών 247.418, κεφαλαιοποίηση 1,397 δισ., υψηλό ημέρας στα 5,39 και χαμηλό 5,13.
Η ΕΛΧΑ ενισχύθηκε 2,61% στα 1,96 ευρώ με όγκο συναλλαγών 225.107, κεφαλαιοποίηση 736 εκατ., υψηλό ημέρας στα 1,964 και χαμηλό 1,914.
Η ΤΙΤΑΝ υποχώρησε 0,98% στα 40,3 ευρώ με όγκο συναλλαγών 60.683, κεφαλαιοποίηση 3,156 δισ., υψηλό ημέρας στα 40,8 και χαμηλό 40,05.
Η ΕΛΛΑΚΤΩΡ ενισχύθηκε 0,14% στα 1,4 ευρώ με όγκο συναλλαγών 420.289, κεφαλαιοποίηση 487 εκατ., με υψηλό ημέρας στα 1,45 και χαμηλό 1,398.
Η Quest ενισχύθηκε 1,65% στα 6,16 ευρώ με 8.507 συναλλαγές, κεφαλαιοποίηση 660 εκατ., με υψηλό ημέρας στα 6,18 και χαμηλό 6,08.
Η Alter Ego (AEM) υποχώρησε 014% στα 4,19 ευρώ με 42.625 συναλλαγές, κεφαλαιοποίηση 239 εκατ., με υψηλό ημέρας στα 4,242 και χαμηλό 4,174.
Η ΑΒΑΞ ενισχύθηκε 0,2% στα 1,99 ευρώ με 211.037 συναλλαγές, κεφαλαιοποίηση 296 εκατ., με υψηλό ημέρας στα 2,04 και χαμηλό 1,99.
Η ΑΚΤΟΡ ενισχύθηκε 0,91% στα 5 ευρώ με 156.424 συναλλαγές, κεφαλαιοποίηση 1,020 δισ., με υψηλό ημέρας στα 5,06 και χαμηλό 4,95.
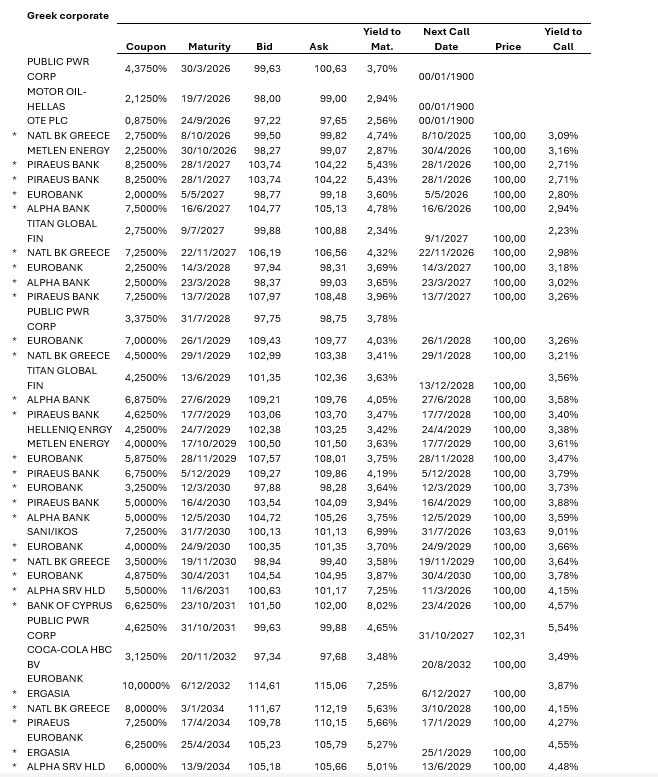
H τεχνική εικόνα της αγοράς ομολόγων



Jefferies: Ισχυρό το ξεκίνημα των τραπεζών στο asset management στο α' τρίμηνο
Η Jefferies επισημαίνει το ξεκίνημα με θετικό πρόσημο φέτος για τις εταιρείες διαχείρισης κεφαλαίων των ελληνικών τραπεζών, καθώς τα υπό διαχείριση κεφάλαια (AUMs) αυξήθηκαν κατά 9% το α’ τρίμηνο του έτους, σημειώνοντας ετήσια άνοδο 35% — και όλα αυτά πριν την πρόσφατη μεταβλητότητα λόγω των εξαγγελιών για δασμούς. Σε επίπεδο μεριδίου αγοράς (εξαιρουμένων των κεφαλαίων τρίτων), η Τράπεζα Πειραιώς και η Εθνική Τράπεζα παρουσίασαν τις μεγαλύτερες αυξήσεις, κατά 80 μονάδες βάσης εκάστη από την αρχή του έτους, ενώ η Alpha Bank υστέρησε.
Τα καθαρά έσοδα από πωλήσεις αμοιβαίων κεφαλαίων ενισχύθηκαν σημαντικά το α’ τρίμηνο, με άνοδο 40% σε σύγκριση με το προηγούμενο, με την Eurobank και την Πειραιώς να πρωταγωνιστούν. Η θετική αυτή πορεία αναμένεται να ενισχύσει τα έσοδα προμηθειών για τις τράπεζες ενόψει των αποτελεσμάτων του πρώτου τριμήνου.
Ανοδικά ξεκίνησε η χρηματιστηριακή αγορά με τον Γενικός Δείκτης +0,45% και τον Τραπεζικό Δείκτη +0,78%.
Στο πρώτο δεκάλεπτο με στηρίξεις από τις τράπεζες, ειδικότερα με Πειραιώς +2,67%, Εθνική +1,74% ... ο Τραπεζικός Δείκτης κατέγραψε το υψηλό της ημέρας +1,69%.
Περί τις 12:00, με αγοραστικές παρεμβάσεις σε μη τραπεζικές μετοχές του FTSE 25, με τις δεικτοβαρείς ΟΤΕ +2,27% και Coca Cola +1,5%, Viohalco +3,31% ..ο Γενικός Δείκτης κατέγραψε το υψηλό της ημέρας +1,12%.
Ο τζίρος και ο όγκος συναλλαγών σε χαμηλά επίπεδα και είναι μοιρασμένος στις τράπεζες και στα μη τραπεζικά blue chips..
Αναλυτικότερα, η αξία συναλλαγών διαμορφώνεται στα 65 εκατ. ευρώ, ο όγκος στα 16,3 εκατ. τεμάχια, εκ των οποίων τα 8,5 εκατ. τεμάχια να διακινούνται στις τράπεζες.
Προσυμφωνημένες συναλλαγές αξίας 16,3 εκατ. ευρώ και όγκο 1,86 εκατ. τεμαχίων πραγματοποιήθηκαν στο ελληνικό χρηματιστήριο.
Αναλυτικά, η Εθνική διακίνησε 1,83 εκατ. τεμάχια αξίας 16,16 εκατ. ευρώ και η Πειραιώς 34,4 χιλ. τεμάχια αξίας 150 χιλ. ευρώ.
Eπίσης, διακινήθηκε 1 πακέτo ομολόγου της ΓΕΚ Τέρνα «GEKTERNAB2» αξίας 1,08 εκατ. ευρώ και όγκου 1,1 εκατ. τεμαχίων και 1 πακέτο ομολόγου του ΟΠΑΠ «OPAPB2» αξίας 977 χιλ. ευρώ και όγκου 1 εκατ. τεμάχια.
Κέρδη στις ευρωπαϊκές αγορές
Ανοδικά κινούνται σήμερα 15/4 οι ευρωπαϊκές αγορές, με έντονη την αισιοδοξία ότι οι εμπορικοί δασμοί του προέδρου των ΗΠΑ D. Trump θα μπορούσαν να χαλαρώσουν, ενώ στο επίκεντρο βρέθηκαν οι νέες οικονομικές εκθέσεις.
Αναλυτικά, η εποχικά προσαρμοσμένη βιομηχανική παραγωγή στην Ευρωζώνη αυξήθηκε 1,1% τον Φεβρουάριο, σε σύγκριση με τον προηγούμενο μήνα, ενώ σε ολόκληρη την Ευρωπαϊκή Ένωση, το ποσοστό σημείωσε μηνιαία αύξηση 1%. Σε ετήσια βάση, η βιομηχανική παραγωγή αυξήθηκε κατά 1,2% στη ζώνη του ευρώ και 0,6% στην ΕΕ.
Ο δείκτης οικονομικού κλίματος στη Γερμανία ανήλθε σε αρνητικό 14 τον Απρίλιο, σημειώνοντας μείωση κατά 65,6 μονάδες σε σύγκριση με το ποσοστό του προηγούμενου μήνα, κάτω από τις προσδοκίες αποκάλυψε το Κέντρο Ευρωπαϊκής Οικονομικής Έρευνας (ZEW) στη σημερινή του έκθεση, ενώ ο δείκτης τρέχουσας κατάστασης αυξήθηκε κατά 6,4 μονάδες σε σύγκριση με την ανάγνωση του περασμένου μήνα για να φτάσει σε αρνητικό 81,2.
Ο δείκτης οικονομικού κλίματος για την Ευρωζώνη υποχώρησε κατά 58,3 μονάδες από τον περασμένο μήνα, προσγειώθηκε στο μείον 18,5, ενώ ο δείκτης τρέχουσας κατάστασης διολίσθησε κατά 5,7 μονάδες στο αρνητικό 50,9.
Ο ετήσιος ρυθμός πληθωρισμού στη Γαλλία ανήλθε στο 0,8% τον Μάρτιο, πιβεβαιώνοντας το προκαταρκτικό ποσοστό πληθωρισμού. Ο Δείκτης Τιμών Καταναλωτή (ΔΤΚ) αυξήθηκε κατά 0,2% σε σύγκριση με τον προηγούμενο μήνα.
Το ποσοστό ανεργίας στο Ηνωμένο Βασίλειο παρέμεινε σταθερό στο 4,4% τους τρεις μήνες που έληξαν τον Φεβρουάριο για δεύτερο συνεχόμενο μήνα, σύμφωνα με τις προσδοκίες των αναλυτών αλλά πάνω από την εκτίμηση από το προηγούμενο έτος.
Eν τω μεταξύ, οι traders αναμένουν την επικείμενη απόφαση νομισματικής πολιτικής της Ευρωπαϊκής Κεντρικής Τράπεζας την Πέμπτη 17/4, προβλέποντας αύξηση επιτοκίων κατά 0,25%.
Πτώση -0,80% καταγράφονται στις τιμές του φυσικού αερίου, με το ολλανδικό TTF Μαΐου στα 34,22 ευρώ.
Ανοδικά κινούνται οι τιμές του πετρελαίου, με το brent να διαμορφώνεται στα 65,30 δολ. το βαρέλι στο +0,65% και του αμερικανικού αργού στα 62,00 δολ. το βαρέλι στο +0,75%.
Ειδικότερα, ο δείκτης Dax στη Γερμανία βρίσκεται στο +1,7%, ο δείκτης CAC στο Παρίσι στο -0,45%, ο δείκτης FTSE MIB +1,4%, ο δείκτης IBEX 35 στην Ισπανία στο +1,3% και ο FTSE 100 στο Λονδίνο στο +1%.
Στη Wall Street, τα futures του Dow Jones κινούνται στο +0,25%, του S&P 500 στο +0,30% και του Nasdaq στο +0,45%.
www.worldenergynews.gr






