Mέχρι 27/7/2017 κάθε κάτοχος άδειας παραγωγής δύναται να υποβάλει ένσταση σε σχέση με τις Μονάδες του ενώπιον του ΑΔΜΗΕ.
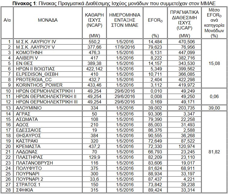
Τον πίνακα της Πραγματικά Διαθέσιμης Ισχύος των Μονάδων Παραγωγής που εντάχθηκαν στον Μεταβατικό Μηχανισμό Αποζημίωσης Ευελιξίας (ΜΜΑΕ), δημοσιοποίησε σήμερα (17/7) ο ΑΔΜΗΕ.
Όπως αναφέρει στην ανακοίνωση «ως Πραγματικά Διαθέσιμη Ισχύος κάθε μονάδας παραγωγής νοείται η Διαθέσιμη Ισχύς (UCAP), που υπολογίζεται σύμφωνα με τις προβλέψεις των παραγράφων 2 και 3 του Άρθρου 297 του ΚΔΣ λαμβάνοντας υπόψη τα καταγεγραμμένα από τον Διαχειριστή δεδομένα, μόνο για την περίοδο που η κάθε μονάδα παραγωγής εντάχθηκε στον ΜΜΑΕ.
Ειδικότερα, για τον υπολογισμό της Πραγματικά Διαθέσιμης Ισχύος των θερμικών μονάδων και της Κατανεμόμενης Μονάδας ΣΗΘΥΑ, για το μέρος της ισχύος της που εντάχθηκε στον ΜΜΑΕ, οι περιπτώσεις Μείζονος Βλάβης περιλαμβάνονται στις καταστάσεις ολικής ή μερικής μη διαθεσιμότητας, ενώ οι περίοδοι Προγραμματισμένης Συντήρησης δεν λαμβάνονται υπόψη.
Επιπλέον, λαμβάνοντας υπόψη τις υποδείξεις της ΡΑΕ ο συντελεστής EMOF δεν υπολογίστηκε, ενώ κάθε άλλη περίπτωση απρόβλεπτης μη διαθεσιμότητας (πχ. περιπτώσεις “Εργασιών Σταθμού”) θεωρήθηκε ισοδύναμη με βλάβη.
Τα πρωτογενή ιστορικά στοιχεία και οι αριθμητικές τιμές των παραμέτρων που χρησιμοποιήθηκαν για τον υπολογισμό του Συντελεστή Απρόβλεπτης Μη Διαθεσιμότητας Ανηγμένης σε Ισοδύναμη Ζήτηση Φορτίου κάθε Μονάδας (EFOR D) είναι στη διάθεση των κατόχων άδειας παραγωγής, μόνο σχετικά με τη Μονάδα Παραγωγής στην οποία αντιστοιχεί η άδειά τους, κατόπιν αιτήματός τους.
Εντός προθεσμίας 15 ημερών από την ημερομηνία δημοσιοποίησης του Πίνακα της Πραγματικά Διαθέσιμης Ισχύος, δηλαδή μέχρι 27/7/2017, κάθε κάτοχος άδειας παραγωγής δύναται να υποβάλει ένσταση σε σχέση με τις Μονάδες του ενώπιον του ΑΔΜΗΕ.

www.worldenergynews.gr
Όπως αναφέρει στην ανακοίνωση «ως Πραγματικά Διαθέσιμη Ισχύος κάθε μονάδας παραγωγής νοείται η Διαθέσιμη Ισχύς (UCAP), που υπολογίζεται σύμφωνα με τις προβλέψεις των παραγράφων 2 και 3 του Άρθρου 297 του ΚΔΣ λαμβάνοντας υπόψη τα καταγεγραμμένα από τον Διαχειριστή δεδομένα, μόνο για την περίοδο που η κάθε μονάδα παραγωγής εντάχθηκε στον ΜΜΑΕ.
Ειδικότερα, για τον υπολογισμό της Πραγματικά Διαθέσιμης Ισχύος των θερμικών μονάδων και της Κατανεμόμενης Μονάδας ΣΗΘΥΑ, για το μέρος της ισχύος της που εντάχθηκε στον ΜΜΑΕ, οι περιπτώσεις Μείζονος Βλάβης περιλαμβάνονται στις καταστάσεις ολικής ή μερικής μη διαθεσιμότητας, ενώ οι περίοδοι Προγραμματισμένης Συντήρησης δεν λαμβάνονται υπόψη.
Επιπλέον, λαμβάνοντας υπόψη τις υποδείξεις της ΡΑΕ ο συντελεστής EMOF δεν υπολογίστηκε, ενώ κάθε άλλη περίπτωση απρόβλεπτης μη διαθεσιμότητας (πχ. περιπτώσεις “Εργασιών Σταθμού”) θεωρήθηκε ισοδύναμη με βλάβη.
Τα πρωτογενή ιστορικά στοιχεία και οι αριθμητικές τιμές των παραμέτρων που χρησιμοποιήθηκαν για τον υπολογισμό του Συντελεστή Απρόβλεπτης Μη Διαθεσιμότητας Ανηγμένης σε Ισοδύναμη Ζήτηση Φορτίου κάθε Μονάδας (EFOR D) είναι στη διάθεση των κατόχων άδειας παραγωγής, μόνο σχετικά με τη Μονάδα Παραγωγής στην οποία αντιστοιχεί η άδειά τους, κατόπιν αιτήματός τους.
Εντός προθεσμίας 15 ημερών από την ημερομηνία δημοσιοποίησης του Πίνακα της Πραγματικά Διαθέσιμης Ισχύος, δηλαδή μέχρι 27/7/2017, κάθε κάτοχος άδειας παραγωγής δύναται να υποβάλει ένσταση σε σχέση με τις Μονάδες του ενώπιον του ΑΔΜΗΕ.
www.worldenergynews.gr






