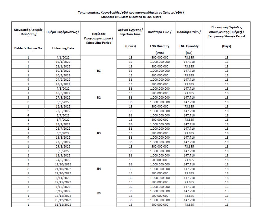
Ολοκληρώθηκε την 28η Οκτωβρίου 2021 η Α’ Φάση της Δημοπρασίας ΥΦΑ για την δέσμευση Τυποποιημένων Χρονοθυρίδων ΥΦΑ για το Έτος 2022. 34 από τις συνολικά 46 Τυποποιημένες Χρονοθυρίδες που διατέθηκαν κατανεμήθηκαν, όπως αποτυπώνεται στον πίνακα.


www.worldenergynews.gr






