H ΡΑΕ δημοσίευσε τα τιμολόγια όλων των προμηθευτών ρεύματος για τον Φεβρουάριο, καθώς και το τιμολόγιο καθολικής υπηρεσίας.
Αναλυτικά:
Σε συνέχεια της δημοσίευσης του ν. 4964/2022 «Διατάξεις για την απλοποίηση της περιβαλλοντικής αδειοδότησης, θέσπιση πλαισίου για την ανάπτυξη των Υπεράκτιων Αιολικών Πάρκων, την αντιμετώπιση της ενεργειακής κρίσης, την προστασία του περιβάλλοντος και λοιπές διατάξεις» (ΦΕΚ Α΄ 150/30.7.2022), έχουν τεθεί σε ισχύ ειδικές διατάξεις για την τιμολόγηση της υπηρεσίας κοινής ωφέλειας «Καθολική Υπηρεσία».
Σημειώνεται ότι, σύμφωνα με τα οριζόμενα στο άρθρο 58 του ν. 4001/2011, όπως ισχύει, «Ο Προμηθευτής Καθολικής Υπηρεσίας ηλεκτρικής ενέργειας υποχρεούται να προμηθεύει Οικιακούς Πελάτες και μικρές επιχειρήσεις (με ισχύ παροχής μέχρι και 25 kVA), οι οποίοι είτε έχουν αδρανήσει σχετικά με το δικαίωμα ελεύθερης επιλογής Προμηθευτή είτε αδυνατούν να βρουν Προμηθευτή στην απελευθερωμένη αγορά με τους υφιστάμενους εμπορικούς όρους». Ως εκ τούτου, λαμβάνοντας υπόψη και τις διατάξεις του άρθρου 3[1] του Κώδικα Προμήθειας Ηλεκτρικής Ενέργειας σε Πελάτες (ΦΕΚ Β΄ 832/9.4.2013), διακρίνονται οι εξής κατηγορίες Πελατών Καθολικής Υπηρεσίες: (1) Οικιακός Πελάτης – Ημερήσιο Τιμολόγιο, (2) Οικιακός Πελάτης – Νυχτερινό Τιμολόγιο, (3) Εμπορικός Πελάτης – Ημερήσιο Τιμολόγιο και (4) Εμπορικός Πελάτης -Νυχτερινό Τιμολόγιο.
Ειδικότερα, το άρθρο 107 «Ρήτρα αναπροσαρμογής – Τροποποίηση άρθρου 138 ν. 4951/2022» ορίζει τα εξής ως προς την τιμολόγηση των Πελατών που προμηθεύονται Ηλεκτρική Ενέργεια μέσω Προμηθευτή Καθολικής Υπηρεσίας «6. Κατά την περίοδο εφαρμογής του πρώτου εδαφίου της παρ. 1 για τον προσδιορισμό των χρεώσεων προμήθειας ηλεκτρικής ενέργειας των προμηθευτών καθολικής υπηρεσίας, λαμβάνονται υπόψη τα τιμολόγια προμήθειας ηλεκτρικής ενέργειας των ανωτέρω προμηθευτών ανά κατηγορία πελατών και επιλέγεται, το τιμολόγιο με την ανώτερη τιμή χρέωσης προμήθειας, εκπεφρασμένη σε ευρώ ανά μεγαβατώρα (€/MWh) σε κλίμακα κατανάλωσης από μηδέν (0) έως δυο (2) ΜWh. Για την εφαρμογή του πρώτου εδαφίου η Ρυθμιστική Αρχή Ενέργειας δημοσιεύει μηνιαίως στην ιστοσελίδα της, υπό τη μορφή πίνακα και έως την εικοστή έβδομη (27η) ημέρα του μήνα (Μ-1), πριν από τον μήνα εφαρμογής (Μ), τις πάγιες χρεώσεις και τις χρεώσεις προμήθειας ηλεκτρικής ενέργειας για το σκέλος ισχύος και ενέργειας, τις οποίες ανακοινώνουν οι προμηθευτές ηλεκτρικής ενέργειας και εφαρμόζονται στα τιμολόγια προμήθειας κατά την παρ. 1. Εφόσον στο προκρινόμενο τιμολόγιο, το οποίο εφεξής καλείται «Τιμολόγιο Αναφοράς», περιλαμβάνονται επιπλέον είτε πάγιες χρεώσεις είτε χρεώσεις νυχτερινής κατανάλωσης, τότε οι χρεώσεις αυτές μεταφέρονται και στο τιμολόγιο προμήθειας καθολικής υπηρεσίας. Οι εφαρμοζόμενες χρεώσεις προμήθειας καθολικής υπηρεσίας υπολογίζονται με βάση το Τιμολόγιο Αναφοράς, προσαυξημένο κατά πέντε τοις εκατό (5%), ανά κατηγορία πελατών. Με απόφαση του Υπουργού Περιβάλλοντος και Ενέργειας δύναται να προκρίνεται ως Τιμολόγιο Αναφοράς διαφορετικό τιμολόγιο από το τιμολόγιο με την ανώτερη τιμή χρέωσης προμήθειας, σε περίπτωση που το τελευταίο έχει απόκλιση μεγαλύτερη από είκοσι τοις εκατό (20%) από τον μέσο όρο των επόμενων τεσσάρων κατά σειρά ακριβότερων τιμολογίων του πίνακα της παρούσας.».
Σε συνέχεια των ανωτέρω και λαμβάνοντας υπόψη το υπό στοιχείο ΥΠΕΝ/ΔΗΕ/92338/3175/13.09.2022 (αρ. πρωτ. ΡΑΕ Ι-335623/13.9.2022) έγγραφο του ΥΠΕΝ, με το οποίο διευκρινίζεται η αληθής βούληση του νομοθέτη ως προς την εφαρμογή της διάταξης της παρ. 6 του άρθρου 138 περί Καθολικής Υπηρεσίας, στη βάση της ιστορικής – υποκειμενικής ερμηνείας των εισηγητών της εν λόγω διάταξης, η Ρυθμιστική Αρχή Ενέργειας, σύμφωνα με τα προβλεπόμενα στο άρθρο 138 του ν. 4591/2022 όπως τροποποιήθηκε και ισχύει, κατόπιν επαλήθευσης της εναρμόνισης των τιμολογίων των Προμηθευτών με τα νόμω οριζόμενα, δημοσιοποιεί τους κατωτέρω Πίνακες Τιμολογίων Προμήθειας Ηλεκτρικής Ενέργειας ανά κατηγορία Πελατών.
Τιμολόγια Προμήθειας Ηλεκτρικής Ενέργειας ανά κατηγορία Πελατών, σύμφωνα με το άρθρο 138 του ν. 4951/2022
Πίνακας 1: Κατηγορία: Οικιακός Πελάτης – Ημερήσιο Τιμολόγιο
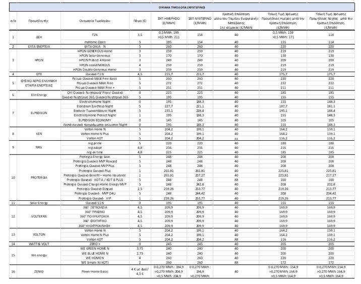
Πίνακας 2: Κατηγορία: Οικιακός Πελάτης – Νυχτερινό Τιμολόγιο
*Οι κλίμακες επιδότησης για τις κατηγορίες Οικιακός Πελάτης – Ημερήσιο Τιμολόγιο και Οικιακός Πελάτης Νυχτερινό Τιμολόγιο είναι:
1η κλίμακα: μέχρι 0,5 ΜWh/μήνα η επιδότηση είναι 40 €/MWh.
2η κλίμακα: πάνω από 0,5 MWh/μήνα η επιδότηση είναι 40 €/MWh υπό την προϋπόθεση μείωσης κατά 15% της μέσης ημερήσιας κατανάλωσης σε σχέση με την αντίστοιχη περσινή.
Για Πελάτες που είναι ενταγμένοι στο Κοινωνικό Οικιακό Τιμολόγιο (ΚΟΤ) η επιδότηση είναι 88 €/MWh.
Πίνακας 3: Κατηγορία: Εμπορικός Πελάτης – Ημερήσιο Τιμολόγιο
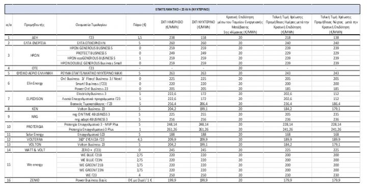
Πίνακας 4: Κατηγορία: Εμπορικός Πελάτης -Νυχτερινό Τιμολόγιο
*Η επιδότηση για τις κατηγορίες Εμπορικός Πελάτης – Ημερήσιο Τιμολόγιο και Εμπορικός Πελάτης- Νυχτερινό Τιμολόγιο είναι: 20€/MWh
«Τιμολόγιο Αναφοράς» για Καθολική Υπηρεσία
Ακολούθως, για τον προσδιορισμό των χρεώσεων ηλεκτρικής ενέργειας των προμηθευτών καθολικής υπηρεσίας, ο νόμος ρητώς προβλέπει ότι ως «Τιμολόγιο Αναφοράς» ορίζεται το τιμολόγιο με την ανώτερη τιμή χρέωσης προμήθειας εκπεφρασμένη σε €/MWh σε κλίμακα κατανάλωσης 0 έως 2 MWh, μεταξύ των προσφερόμενων τιμολογίων από τους Προμηθευτές Καθολικής Υπηρεσίας.
Ως εκ τούτου, για την κατηγορία «Οικιακός Πελάτης – Ημερήσιο Τιμολόγιο» ως Τιμολόγιο Αναφοράς ορίζεται το τιμολόγιο «Protergia Οικιακό Plus» του Προμηθευτή «ΜΥΤΙΛΗΝΑΙΟΣ Α.Ε.-OΜΙΛΟΣ ΕΠΙΧΕΙΡΗΣΕΩΝ». Περαιτέρω, για την κατηγορία «Οικιακός Πελάτης – Νυχτερινό Τιμολόγιο» ως Τιμολόγιο Αναφοράς ορίζεται το τιμολόγιο «Protergia Οικιακό Plus» του Προμηθευτή «ΜΥΤΙΛΗΝΑΙΟΣ Α.Ε.-OΜΙΛΟΣ ΕΠΙΧΕΙΡΗΣΕΩΝ», για την κατηγορία «Εμπορικός Πελάτης – Ημερήσιο Τιμολόγιο» ως Τιμολόγιο Αναφοράς ορίζεται το τιμολόγιο «Protergia Επαγγελματικό 1 Plus» του Προμηθευτή «ΜΥΤΙΛΗΝΑΙΟΣ Α.Ε.-OΜΙΛΟΣ ΕΠΙΧΕΙΡΗΣΕΩΝ» και για την κατηγορία «Εμπορικός Πελάτης -Νυχτερινό Τιμολόγιο» ως Τιμολόγιο Αναφοράς ορίζεται το τιμολόγιο «Protergia Επαγγελματικό 3 Plus» του Προμηθευτή «ΜΥΤΙΛΗΝΑΙΟΣ Α.Ε.-OΜΙΛΟΣ ΕΠΙΧΕΙΡΗΣΕΩΝ».
Οι σχετικές χρεώσεις προμήθειας του Τιμολογίου Αναφοράς, ανά κατηγορία Πελάτη υπολογίζονται προσαυξημένες κατά 5%, σύμφωνα με τα οριζόμενα στο άρθρο 138 του ν. 4951/2022, όπως ισχύει.
Λαμβάνοντας υπόψη ότι το σύνολο των ανωτέρω Τιμολογίων δεν εμφανίζουν απόκλιση μεγαλύτερη του 20 % σε σχέση με τον μέσο όρο των τεσσάρων επόμενων κατά σειρά ακριβότερων τιμολογίων, δεν πληρούνται οι προϋποθέσεις εφαρμογής της παραγράφου 6 του άρθρου 138 του Ν. 4951/2022, όπως τροποποιήθηκε και ισχύει, σύμφωνα με την οποία, με απόφαση του Υπουργού Περιβάλλοντος και Ενέργειας, δύναται να καθορισθεί ως Τιμολόγιο Αναφοράς για την παροχή της υπηρεσίας «Προμηθευτή Καθολικής Υπηρεσίας» διαφορετικό τιμολόγιο από αυτό που προκύπτει βάσει της ανωτέρω κατάταξης. Συγκεκριμένα: «Με απόφαση του Υπουργού Περιβάλλοντος και Ενέργειας δύναται να προκρίνεται ως Τιμολόγιο Αναφοράς διαφορετικό τιμολόγιο από το τιμολόγιο με την ανώτερη τιμή χρέωσης προμήθειας, σε περίπτωση που το τελευταίο έχει απόκλιση μεγαλύτερη από είκοσι τοις εκατό (20%) από τον μέσο όρο των επόμενων τεσσάρων κατά σειρά ακριβότερων τιμολογίων».
Διευκρινίζεται ότι και οι καταναλωτές που προμηθεύονται ηλεκτρική ενέργεια μέσω Προμηθευτή Καθολικής Υπηρεσίας λαμβάνουν την ορισθείσα κρατική επιδότηση εκ του ΤΕΜ.
[1] «2. Βασικές Κατηγορίες Πελατών: Με κριτήριο το σκοπό τελικής χρήσης της ηλεκτρικής ενέργειας που προμηθεύονται, οι Πελάτες κατατάσσονται σε Οικιακούς και Μη Οικιακούς. Ανάλογα με την ισχύ παροχής σε kVA και το μέγεθός τους, οι Πελάτες διακρίνονται περαιτέρω σε Μικρούς και Μεγάλους. Στην κατηγορία των Μικρών Πελατών, εντάσσονται οι Οικιακοί ανεξαρτήτου παροχής και οι Μη Οικιακοί με ισχύ παροχής έως 25 kVA, για μεμονωμένες εγκαταστάσεις.».
www.worldenergynews.gr






